平均と分散を求めたので、
今度は正確な分布を求めよう。
n人でm回かかる確率をp(n,m)とすると、
1回で1人になる場合、2人になる場合、…をたし合わせて、
p(n,m) = P(n,1)p(1,m-1) + ... + P(n,n)p(n,m-1) (m > 1)
p(n,1) = P(n,1)
ここで、P(k,l)はk人から1回でl人になる確率で、
P(k,l) = kCl / 3k (l < k)
P(k,k) = 1 - P(k,1) - ... - P(k,k-1) = (2k - 2) / 3k
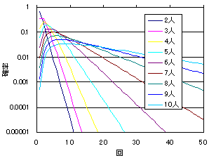
これを計算すると次のようになった。
直線になっているということは、
指数関数的になっているということ。
ソースは次のよう。
var p = [ ];
var P = [ ];
P[1] = [ ];
P[1][0] = 1;for(var n = 2; n <= 10; n++) {
P[n] = [ ];
P[n][0] = P[n-1][0] / 3;
P[n][n] = 1;
for(var k = 1; k < n; k++) {
P[n][k] = P[n][k-1] * (n - k + 1) / k;
P[n][n] -= P[n][k];
}
p[n] = [ 0, P[n][1] ];
for(var i = 2; i <= 50; i++) {
p[n][i] = 0;
for(var k = 2; k <= n; k++)
p[n][i] += P[n][k] * p[k][i-1];
}
print(p[n]);
}function print(str) {
WScript.Echo(str);
}
