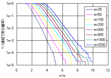
m点でn辺のグラフが連結である確率を疑似乱数を使って計算している。
今回は、PythonからC++に移植して少し工夫した。すると、速度が100倍になった。そこで、繰り返し回数を10万回にして、m=3200を追加した。疑似乱数が少し気になるが、この問題ではあまり気を使わなくていいだろう。
そして、連結である確率が0.5,0.9,0.99,0.999を通過するn/mをプロットした。
かなりよく並ぶ。それぞれの近似式は、
p = 0.5 n = m(0.52522log(m) + 0.000266)
p = 0.9 n = m(0.56929log(m) + 0.627942)
p = 0.99 n = m(0.63550log(m) + 1.338728)
p = 0.999 n = m(0.71830log(m) + 1.922781)
p = 0.9, 0.99, 0.999を取って、それぞれ1,2,3として、近似式の傾きと切片をプロットすると、
この式を使って、p = 1 - 1e-6のときのnの近似式を推定すると、
n = m(0.938log(m) + 3.886)
m = 10000なら、125345辺あればまず間違いなく連結である、らしい。
#include
#include
#includeusing namespace std;
class cGraph {
int n;
vector> g;
vectora;
public:
cGraph(int n) {
this->n = n;
g = vector>(n);
a = vector(n, 0);
a[0] = 1;
}
void clear();
void add_edge_at_random();
bool add_edge(int vs, int ve);
bool exists_edge(int vs, int ve) const;
void update_connection(int vs, int ve);
bool is_connective() const;
};void cGraph::clear() {
for(int i = 0; i < n; i++) {
g[i].resize(0);
a[i] = 0;
}
a[0] = 1;
}void cGraph::add_edge_at_random() {
while(true) {
int vs = rand() % n;
int ve;
while(true) {
ve = rand() % n;
if(vs != ve)
break;
}
if(add_edge(vs, ve))
break;
}
}bool cGraph::add_edge(int vs, int ve) {
if(exists_edge(vs, ve)) {
return false;
}
else {
g[vs].push_back(ve);
g[ve].push_back(vs);
update_connection(vs, ve);
return true;
}
}bool cGraph::exists_edge(int vs, int ve) const {
return find(g[vs].begin(), g[vs].end(), ve) != g[vs].end();
}void cGraph::update_connection(int vs, int ve) {
if(a[vs] + a[ve] == 1) {
if(a[vs] == 0) {
int tmp = vs;
vs = ve;
ve = tmp;
}
a[ve] = 1;
stackstk;
stk.push(ve);
while(!stk.empty()) {
int v0 = stk.top();
stk.pop();
typedef vector::const_iterator CIT;
for(CIT p = g[v0].begin(); p != g[v0].end(); ++p) {
int v1 = *p;
if(a[v1] == 0) {
a[v1] = 1;
stk.push(v1);
}
}
}
}
}bool cGraph::is_connective() const {
return find(a.begin(), a.end(), 0) == a.end();
}int main() {
for(int m = 25; m <= 3200; m *= 2) {
srand(m);
printf("m : %d\n", m);
cGraph g(m);
for(int k = 0; k < 100000; k++) {
g.clear();
int n = 0;
while(true) {
g.add_edge_at_random();
n++;
if(g.is_connective()) {
printf("%d\n", n);
break;
}
}
}
}
}


